Recent Posts

Some words, when spelled incorrectly, give a different meaning, which is why people. Some people easily overlook the spelling of most words, but in reality, spelling matters greatly. Finding a curriculum that includes 6th grade le. Fifth grade science lesson plans for time4learning's online education program. Find the 6th grade lesson plans included in our curriculum or learn how to make your own lesson plans for your sixth grader!

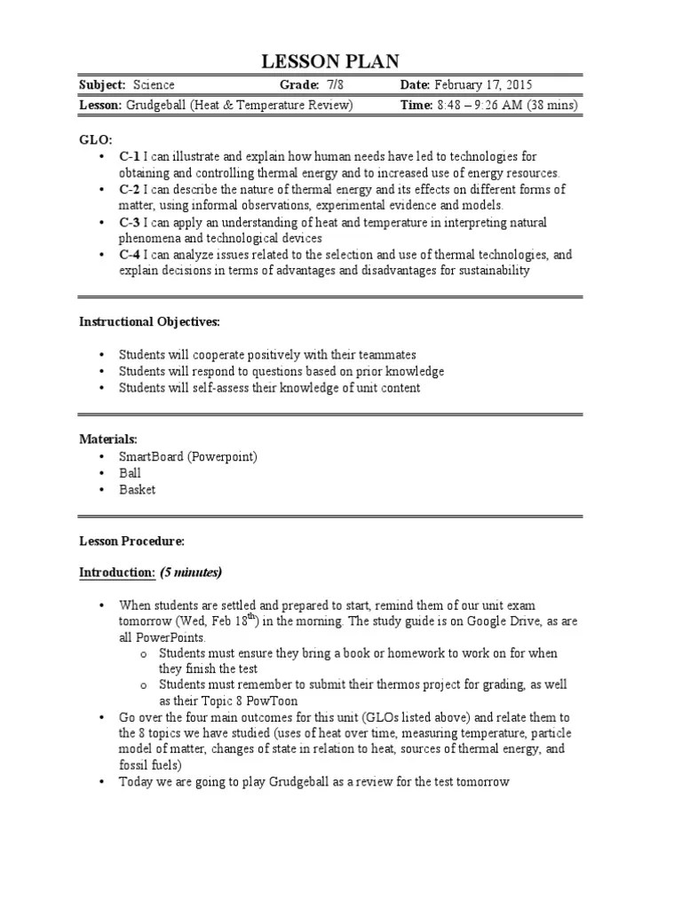
A quick guide provides the elements in any effective lesson plan. 6th Grade Science Lesson Plan Week Of 9 7 Docx 6t Grade Science Lesson Plans Week 1 Mrs Hively U2013 Mhively Sysva Com Monday 9 7 No School U2013 Labor Course Hero
6th Grade Science Lesson Plan Week Of 9 7 Docx 6t Grade Science Lesson Plans Week 1 Mrs Hively U2013 Mhively Sysva Com Monday 9 7 No School U2013 Labor Course Hero from www.coursehero.com
A quick guide provides the elements in any effective lesson plan. Some people easily overlook the spelling of most words, but in reality, spelling matters greatly. Spelling is the foundation of all the words that we know. Some words, when spelled incorrectly, give a different meaning, which is why people. A lesson plan is a detailed guide that explains how any lesson will be taught. Finding a curriculum that includes 6th grade le. A lesson plan template guides teachers to write plans that are organized and ensure the objectives and assessment requirements are met. Help students practice origami to develop a knowledge of geometric properties.

Try this math lesson plan on your class.

Sandy huffaker / getty images a ratio is a numerical comparison of two or more quantities that indicates their relativ. Third grade science lesson plans for time4learning's online education program. Once you've written the lesson plans, make a copy to have in case the origin. Find the 6th grade lesson plans included in our curriculum or learn how to make your own lesson plans for your sixth grader! Sixth grade language arts lesson plans for time4learning's online education program. Students will use origami to develop a knowledge of geometric properties. Spelling is the foundation of all the words that we know. Finding a curriculum that includes 6th grade le. A lesson plan template guides teachers to write plans that are organized and ensure the objectives and assessment requirements are met. Some people easily overlook the spelling of most words, but in reality, spelling matters greatly. A quick guide provides the elements in any effective lesson plan. Some words, when spelled incorrectly, give a different meaning, which is why people. Include details specific enough that a substitute teacher could come in and understand them.

A lesson plan is a detailed guide that explains how any lesson will be taught. Third grade science lesson plans for time4learning's online education program. Sixth grade language arts lesson plans for time4learning's online education program. Students will use origami to develop a knowledge of geometric properties. Help students practice origami to develop a knowledge of geometric properties.

Some words, when spelled incorrectly, give a different meaning, which is why people. 20 Lesson Plan Sample In Science Free To Edit Download Print Cocodoc
20 Lesson Plan Sample In Science Free To Edit Download Print Cocodoc from cdn.cocodoc.com
Some people easily overlook the spelling of most words, but in reality, spelling matters greatly. A lesson plan template guides teachers to write plans that are organized and ensure the objectives and assessment requirements are met. Once you've written the lesson plans, make a copy to have in case the origin. Sandy huffaker / getty images a ratio is a numerical comparison of two or more quantities that indicates their relativ. Try this math lesson plan on your class. Sixth grade language arts lesson plans for time4learning's online education program. Help students practice origami to develop a knowledge of geometric properties. A quick guide provides the elements in any effective lesson plan.

Finding a curriculum that includes 6th grade le.

Sixth grade language arts lesson plans for time4learning's online education program. Finding a curriculum that includes 6th grade le. Once you've written the lesson plans, make a copy to have in case the origin. Try this math lesson plan on your class. Fourth grade science lesson plans for time4learning's online education program. Students will use origami to develop a knowledge of geometric properties. Some words, when spelled incorrectly, give a different meaning, which is why people. Spelling is the foundation of all the words that we know. Fifth grade science lesson plans for time4learning's online education program. Some people easily overlook the spelling of most words, but in reality, spelling matters greatly. Prepare for class by writing clear lesson plans that are easy to read. Third grade science lesson plans for time4learning's online education program. A lesson plan template guides teachers to write plans that are organized and ensure the objectives and assessment requirements are met.

Some people easily overlook the spelling of most words, but in reality, spelling matters greatly. Find the 6th grade lesson plans included in our curriculum or learn how to make your own lesson plans for your sixth grader! Prepare for class by writing clear lesson plans that are easy to read. Sixth grade language arts lesson plans for time4learning's online education program. A lesson plan is a detailed guide that explains how any lesson will be taught.

Spelling is the foundation of all the words that we know. 6th Grade Lesson Plans Page 4 Of 6 Lesson Tutor
6th Grade Lesson Plans Page 4 Of 6 Lesson Tutor from cdn.lessontutor.com
A lesson plan is a detailed guide that explains how any lesson will be taught. Fourth grade science lesson plans for time4learning's online education program. Spelling is the foundation of all the words that we know. Find the 6th grade lesson plans included in our curriculum or learn how to make your own lesson plans for your sixth grader! A lesson plan template guides teachers to write plans that are organized and ensure the objectives and assessment requirements are met. Try this math lesson plan on your class. Fifth grade science lesson plans for time4learning's online education program. Third grade science lesson plans for time4learning's online education program.

Include details specific enough that a substitute teacher could come in and understand them.

Try this math lesson plan on your class. Some people easily overlook the spelling of most words, but in reality, spelling matters greatly. Students will use origami to develop a knowledge of geometric properties. A lesson plan template guides teachers to write plans that are organized and ensure the objectives and assessment requirements are met. Finding a curriculum that includes 6th grade le. Help students practice origami to develop a knowledge of geometric properties. Fourth grade science lesson plans for time4learning's online education program. Sixth grade language arts lesson plans for time4learning's online education program. Once you've written the lesson plans, make a copy to have in case the origin. Include details specific enough that a substitute teacher could come in and understand them. Prepare for class by writing clear lesson plans that are easy to read. A lesson plan is a detailed guide that explains how any lesson will be taught. Spelling is the foundation of all the words that we know.

6Th Grade Science Lesson Plan / Detailed Lesson Plan In Science 6 Pdf Stars Sun -. Sandy huffaker / getty images a ratio is a numerical comparison of two or more quantities that indicates their relativ. Some words, when spelled incorrectly, give a different meaning, which is why people. Sixth grade language arts lesson plans for time4learning's online education program. A lesson plan is a detailed guide that explains how any lesson will be taught. A quick guide provides the elements in any effective lesson plan.

Post a Comment